¿Cómo funciona Internet?
- Resuelva problemas comunes en su código JavaScript
- Solución de problemas comunes de HTML
- Usa CSS para resolver problemas comunes
En este artículo se describe qué es Internet y cómo funciona.
| Prerequisitos: | Ninguno, pero te animamos a leer el Artículo sobre el establecimiento de metas primero. |
|---|---|
| Objetivo: | Aprenderás lo básico a cerca de la infraestructura técnica de la web y la diferencia entre Internet y la Web. |
Resumen
Internet es la columna vertebral de la Web, la infraestructura técnica que la hace posible. En su esencia, Internet es una gran red de computadoras que se comunican simultáneamente.
La historia de internet es algo oscura. Comenzó en la década de 1960 como un proyecto de investigación financiado por el ejercito de los EE.UU, y luego se convirtió en una infraestructura pública en la década de 1980 con el apoyo de muchas universidades públicas y empresas privadas. Las distintas tecnologías que soporta internet han evolucionado con el tiempo, pero la forma en que funciona no ha cambiado mucho: Internet es una forma de conectar las computadoras entre sí y asegurar que, pase lo que pase, encuentren una manera de mantenerse conectadas.
Aprendizaje activo
- Cómo funciona internet explicado en 5 minutos: Un vídeo de 5 minutos para entender los fundamentos de internet por Aaron Titus.
- ¿Cómo funciona Internet? Video detallado de 8 minutos de visualización.
Profundizar
>Una simple red
Cuando dos ordenadores necesitan comunicarse, tienes que vincularlos, ya sea físicamente (por lo general con un cable de Ethernet) o de forma inalámbrica (por ejemplo por WiFi o sistema de Bluetooth). Todos los ordenadores modernos pueden soportar cualquiera de este tipo de conexiones.
Nota: En el resto de este artículo, sólo nos referiremos al uso de cables físicos, pero es igualmente aplicable a las redes inalámbricas.

Una red no se limita a dos ordenadores, se pueden conectar tantos como se desee; sin embargo, rápidamente se volverá más compleja. Por ejemplo, para conectar diez ordenadores, se necesitarían ¡45 cables y unos nueve conectores por ordenador!

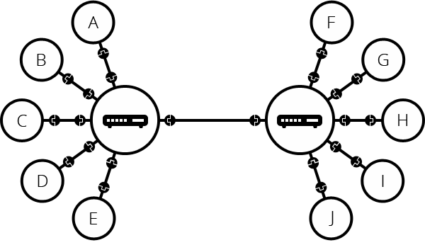
Para resolver este problema, cada ordenador en una red está conectado a una pequeña computadora especial llamada enrutador o router (en inglés). Este enrutador cumple una única función: tal como hace un señalizador en una estación de tren, el router se encarga de asegurar que el mensaje enviado desde un ordenador emisor llegue al destino correcto. Para que el ordenador B reciba un mensaje desde el ordenador A, este último debe enviarlo primero al router, que a su vez lo remite al ordenador B asegurándose que dicho mensaje no sea entregado a otro ordenador C.
Una vez que agregamos un enrutador al sistema, nuestra red de 10 ordenadores solo requiere 10 cables: un enchufe para cada ordenador y un enrutador con 10 enchufes.

Una red de redes
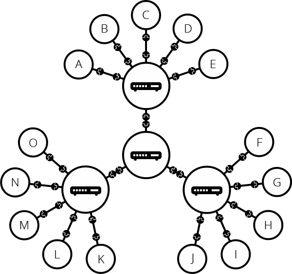
Hasta aquí todo es más o menos simple, pero ¿qué sucede al conectar cientos, miles, millones de ordenadores entre sí?. Por supuesto un solo enrutador no puede escalar tanto, pero, si lees cuidadosamente, dijimos que un enrutador es como un pequeño ordenador, entonces ¿qué nos impide conectar dos enrutadores a la vez?. Nada: hagámoslo.

Conectando ordenadores a enrutadores y luego enrutadores entre sí, podemos escalar infinitamente.

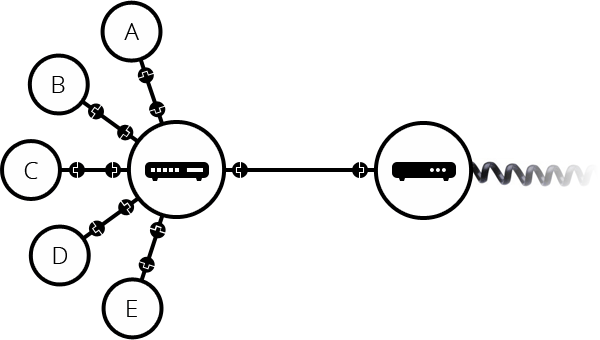
Una red así se acerca mucho a lo que llamamos Internet, pero hay algo que nos falta. Construimos esa red para nuestros propios propósitos. Hay otras redes ahí fuera: tus amigos, tus vecinos, cualquiera puede tener su propia red de ordenadores. Pero no es posible instalar cables entre tu casa y el resto del mundo, así que ¿cómo puedes manejar esto? Bueno, ya hay cables conectados a tu casa, por ejemplo, la energía eléctrica y el teléfono. La infraestructura telefónica ya conecta tu casa con cualquier persona en el mundo, así que es el cable perfecto que necesitamos. Para conectar nuestra red a la infraestructura telefónica, necesitamos un equipo especial llamado modem. Este modem convierte la información de nuestra red en información manejable por la infraestructura telefónica y viceversa.

Entonces estamos conectados a la infraestructura telefónica. El siguiente paso es enviar el mensaje desde nuestra red a la red que queremos llegar. Para lograr eso, conectaremos nuestra red a un proveedor de servicios de internet (ISP de sus siglas en inglés Internet Service Provider). Un ISP es una empresa que gestiona algunos enrutadores especiales interconectados, que también pueden acceder a enrutadores de otros ISP. Así, el mensaje de nuestra red es llevada a través de la red de redes de ISP, hasta la red de destino. Internet consiste en toda esta infraestructura de redes.

Encontrando ordenadores
Si deseas enviar un mensaje a una computadora, debes especificar a cuál. Es por ello que todo ordenador conectado a una red cuenta con una dirección única que lo identifica, llamada "dirección IP" (siendo "IP" las siglas en inglés de Internet Protocol, o Protocolo de Internet). Esta dirección está compuesta por una serie de cuatro números separados por puntos, por ejemplo: 192.168.2.10.
Para los ordenadores es un identificador simple, pero los humanos tenemos mayor dificultad para recordar este tipo de direcciones. Con el propósito de convertir esta serie numérica en algo que podamos asociar con mayor facilidad a la dirección IP se utiliza lo que conocemos como nombre de dominio. Por ejemplo, google.com es el nombre de dominio utilizado para la dirección IP 173.194.121.32. Así, usar un nombre de dominio es la manera más fácil para nosotros de identificar un ordenador a través de Internet.

Internet y la web
Como puedes notar, cuando navegamos por la web con un navegador, normalmente utilizamos el nombre de dominio para llegar a un sitio web. ¿Significa eso que Internet y la Web son la misma cosa? No es tan simple. Como vimos, Internet es una infraestructura técnica que permite que miles de millones de ordenadores estén conectadas entre sí. Algunos de estos ordenadores, llamados servidores web son capaces de enviar mensajes inteligibles a los navegadores. Por tanto Internet es una infraestructura, mientras que la Web es un servicio construido sobre dicha infraestructura. Cabe señalar que existen otros servicios soportados por Internet, como es el correo electrónico e IRC.